在一些大電流的MOS管應用電路中,功耗越大,意味著發熱越多,器件溫升就越高,這對于電路的穩定工作而言是個威脅,今天我們就來講一下MOS管驅動電路功率損耗的計算方法;
主要包含三部分,一部分是MOS導通電阻造成的功率損耗(傳導損耗),另外一部分是MOS在ON和OFF時產生的開關損耗,還有就是驅動器產生的損耗。

功率損耗計算
1.傳導損耗
所有的MOS管導通后都存在導通內阻,當電流流過之后就會產生功率損耗,一般用RDS(ON)來表示,傳導損耗一般來說和MOS的大小成反比,體積越大,其導通電阻一般能做的更小。
傳導損耗的計算如下,簡單來說就是流經MOS管的電流與MOS管DS之間的壓降的乘積。

需要注意的一點是RDS(ON)的值會受溫度影響,溫度越高,其值越大,所以我們在評估傳導損耗時,還需要把溫度考慮在內;

2.柵極充電損耗
每當MOS開通或者關閉時,其柵源米勒寄生電容就會發生充放電,所以開關損耗和開關頻率以及寄生電容的大小有關,一般來說寄生電容和MOS大小成正比,體積越大,其寄生電容一般越大,所以雖然傳導損耗低了,但是開關損耗卻高了。
柵極充電損耗的計算等于柵極驅動電壓乘以柵極驅動電流,由于柵極驅動是開關模式,我們已知了柵極寄生電荷,根據Q=I*t=I/f,可以反向計算出柵極驅動的平均電流,從而計算出柵極充電的功率損耗。

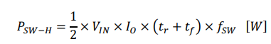
3.開關損耗
由于MOS管開通或者關斷時,其電壓并不會立馬升高到電源電壓或者降低到0V,存在一定的斜率,因此在這個過程中會存在開關損耗,其計算方法如下;
其中Vin表示輸入電壓,Io表示輸出電流,tr表示MOS管開通時,輸出電壓從0V升高至電源電壓的時間,tf表示MOS管關斷時,輸出電壓從電源電壓降低至0V的時間,fsw表示開關的頻率。

〈烜芯微/XXW〉專業制造二極管,三極管,MOS管,橋堆等,20年,工廠直銷省20%,上萬家電路電器生產企業選用,專業的工程師幫您穩定好每一批產品,如果您有遇到什么需要幫助解決的,可以直接聯系下方的聯系號碼或加QQ/微信,由我們的銷售經理給您精準的報價以及產品介紹
聯系號碼:18923864027(同微信)
QQ:709211280

